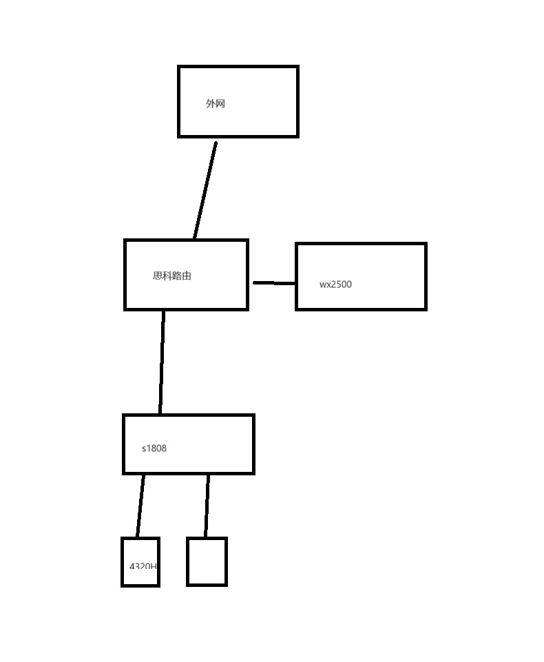
ac显示ap接口速度千兆
测试场景:2g大文件拷贝,有线,千兆口(包括交换,ac,路由,ap扩展的网口),ap fit模式
测试过程:通过一个ap的网口(即两个终端一个接passthrough,一个接ap扩展的千兆网口) 有线速度降到50M/B,通过两个ap网口(即两个都接ap扩展的接口)速度降到大约30M/B,不通过(两个均接passthrough以及拔掉ap上行线接到终端,排除线的问题)速度恢复到100M/B左右
以上测试速度均是文件拷贝速度,非网卡显示的速率,注意单位
补充一点,本来想测AP扩展出来的接口的内部转发速度,神奇的是H3C固件估计屏蔽了同一个AP扩展出来的端口之间通讯,如果两个终端都接同一个AP扩展出来的接口(该AP有4个千兆口和一个passthrough,对应上行端一个上行接口和一个passthrough口),ping不通,无法访问共享目录,故无法测试出问题出在扩展出的接口还是上行端口

(0)
亲~登录后才可以操作哦!
确定你的邮箱还未认证,请认证邮箱或绑定手机后进行当前操作
举报
×
侵犯我的权益
×
侵犯了我企业的权益
×
抄袭了我的内容
×
原文链接或出处
诽谤我
×
对根叔社区有害的内容
×
不规范转载
×
举报说明
至于更改设置 我没看到相关于ap扩展口之间限制的设置呀