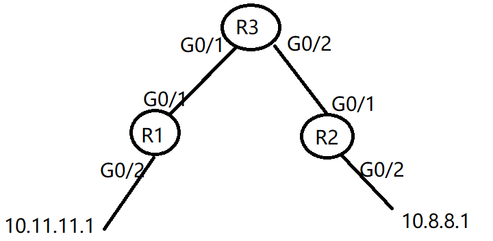
如下图所示,
北京访问上海,R2-R1
源报文10.8.8.1访问目的9.222.132.32,转换成源144.88.24.136访问目的10.11.11.11
在R2G0/2上配置nat server进行目的转换,将9.222.132.32转化为10.11.11.11。
int g0/2
nat server protocol tcp global 9.222.132.32 0 inside 10.11.11.11 0
在R1上G0/1口配置nat outbound进行源转换,将10.8.8.1转换为144.88.24.136。
R1:
int g0/1
nat oubound acl 3100 add-group 1 (acl 3100的souce为10.8.8.1,目的为10.11.11.11,add-group1 为 144.88.24.136)
请问如果同样需要上海访问北京(R1-R2),还需要重新反方向配置一边nat server和nat outbound吗?访问关系的地址都没变

(0)
最佳答案
可以参考官网配置案例,也可以参考:轻轻松松配详细的配置案例您可以参考:
轻轻松松配交换:https://zhiliao.h3c.com/topic/huati/1246
轻轻松松配路由:https://zhiliao.h3c.com/topic/huati/1247
轻轻松松配安全:https://zhiliao.h3c.com/topic/huati/1248
轻轻松松配无线:https://zhiliao.h3c.com/topic/huati/1249
(0)
亲~登录后才可以操作哦!
确定你的邮箱还未认证,请认证邮箱或绑定手机后进行当前操作
举报
×
侵犯我的权益
×
侵犯了我企业的权益
×
抄袭了我的内容
×
原文链接或出处
诽谤我
×
对根叔社区有害的内容
×
不规范转载
×
举报说明
暂无评论