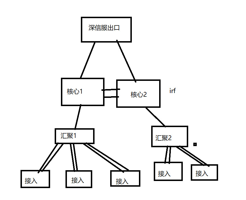
1.某生产工厂的内网组网结构如下;
2.现场用户总是说接入交换机下的两台电脑使用接远程桌面一整天链接的话会出现两三次的断开,而且故障复现率很高;我能想到的能导致这个问题原因的只有基于子网的vlan这个原因导致,因为我一个最多接口配置大概7个子网左至右,网关都在核心,接入都是双上行聚合到汇聚配置了聚合组,麻烦大哥们提供一下排除思路我确实没想到还有什么其他可能导致这个问题了;

核心做IRF堆叠
汇聚和接入配置聚合
有楼层在接入有接了TP的傻瓜交换机,当时这个接口我还是配置的基于子网的vlan,不知道这个有没有影响;
(0)
亲~登录后才可以操作哦!
确定你的邮箱还未认证,请认证邮箱或绑定手机后进行当前操作
举报
×
侵犯我的权益
×
侵犯了我企业的权益
×
抄袭了我的内容
×
原文链接或出处
诽谤我
×
对根叔社区有害的内容
×
不规范转载
×
举报说明
暂无评论