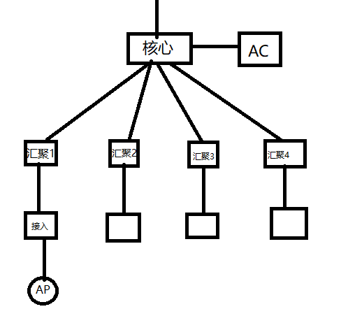
拓扑如下图,V5的AC,本地转发,所有无线业务地址池在汇聚4上,相关接口均trunk放通,无线终端业务正常,但把业务地址池移动到汇聚1上终端拿不到地址
故障现象:
把业务地址池移动到汇聚1上,同时把汇聚4的地址池删除。汇聚1下的接入交换机和AP对应的虚接口均能拿到地址,说明DHCP配置没问题。
但汇聚1下的无线终端拿不到地址,终端手动配置静态地址后,终端能拼通AP的虚接口地址,但不能拼通接入和网关。AC上能看到该终端,汇聚1上能学到终端的MAC。

AC的相关配置如下:



(0)
最佳答案
检查下AP配置情况吧
目前怀疑2个问题
1、AP没有下发MAP文件或没vlan 904
2、接入或者汇聚交换机没配置vlan 904导致终端拿不到地址
建议先按以上2个思路排查下吧,或者新建一个ssid指定vlan为904验证同理。
(0)
MAP确认过,全放通,中间的交换机都有904的VLAN,新建其它的SSID也有问题
检查下trunk放行和ap当前配置情况吧,实在不行就在接入找个空的口配个access 904检查是否是三层网关和dhcp配置有问题吧
根据你的拓扑描述,无线终端和AP的地址池在汇聚4上面,汇聚和核心之间是三层互联,那么AP与AC之间是不同的网段,那么就是三层注册,三层注册一般通过dhcp或dns的option字段来获取ac的地址,你检查一下汇聚4的配置DHCP 里面是否有相应的option配置,在汇聚1上也按这个配置应该可以解决。
(0)
核心与汇聚是二层,AC与核心是三层,更改地址池后AP没掉线,这个问题与三层注册没问题,是终端没拿到业务地址的问题
核心与汇聚是二层,AC与核心是三层,更改地址池后AP没掉线,这个问题与三层注册没问题,是终端没拿到业务地址的问题
亲~登录后才可以操作哦!
确定你的邮箱还未认证,请认证邮箱或绑定手机后进行当前操作
举报
×
侵犯我的权益
×
侵犯了我企业的权益
×
抄袭了我的内容
×
原文链接或出处
诽谤我
×
对根叔社区有害的内容
×
不规范转载
×
举报说明
检查下trunk放行和ap当前配置情况吧,实在不行就在接入找个空的口配个access 904检查是否是三层网关和dhcp配置有问题吧